Data Inventory
Grundlagenmodul Informationsdesign, 2. Semester
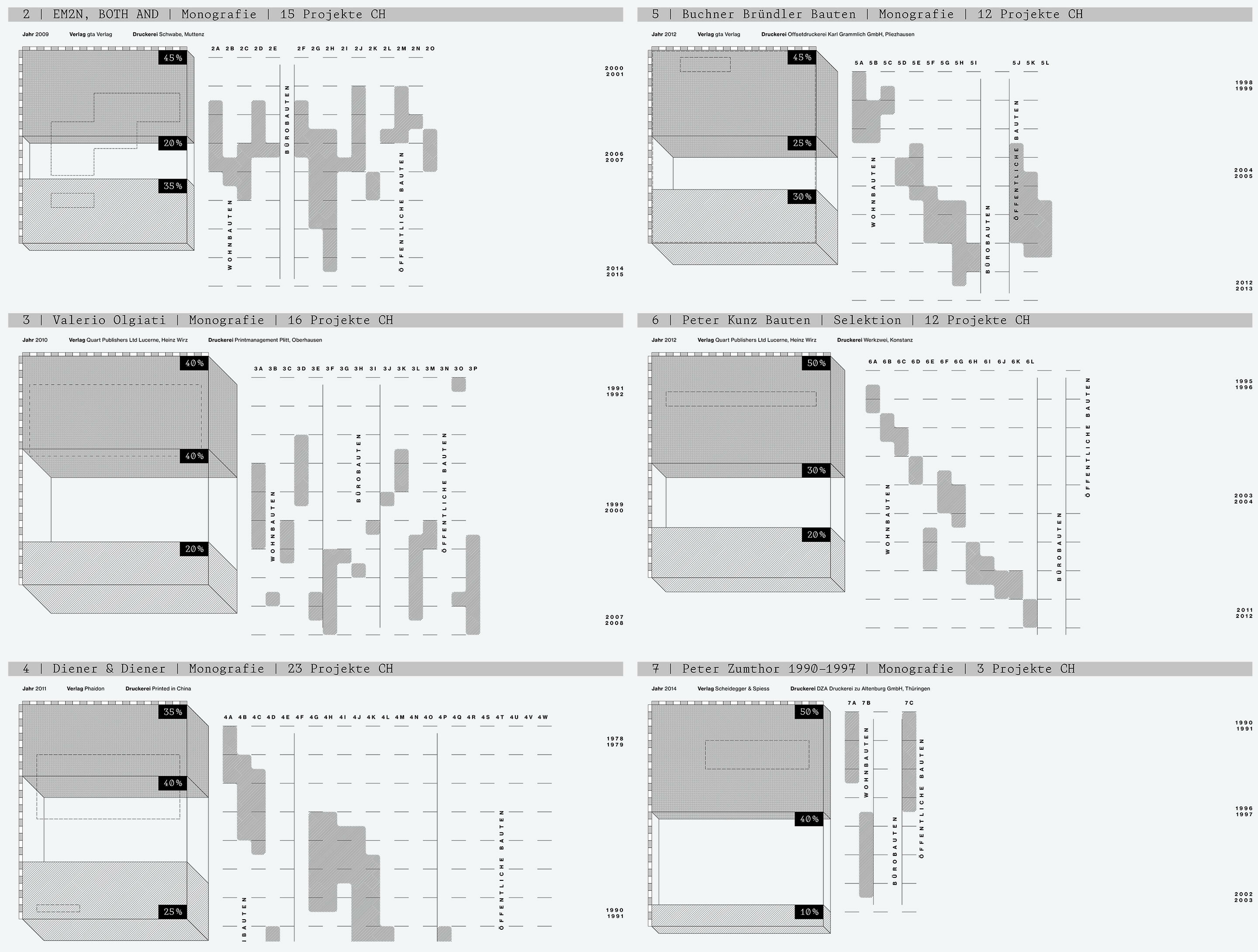
Der Umgang mit Konsum und Besitz ist ein aktuelles Thema unserer Gesellschaft. In Zeiten der Digitalisierung und des Klimawandels macht man sich Gedanken zu Verwendung, Anschaffung, Kosten, Herstellung, Entsorgung, etc. Im eigenen Besitz – selbst bei den alltäglichsten Ge-/Verbrauchsgegenständen – findet sich eine Vielzahl von Informationen.
Die Studierenden setzen sich mit einem komplexen Datensatz aus ihrem persönlichen Besitz auseinander und präsentieren sie schlussendlich in einer grossformatigen Informationsvisualisierung. Sie strukturieren und organisieren die Informationen und entwickeln eine geeignete visuelle Formensprache, um ihren Sachverhalt verständlich darzustellen. Durch die Verknüpfung relevanter Parameter lassen sich neue Schlüsse und ein Bewusstsein zum eigenen Konsum und Besitz herauslesen.






